Caterpillar Ta1 Inspection Form
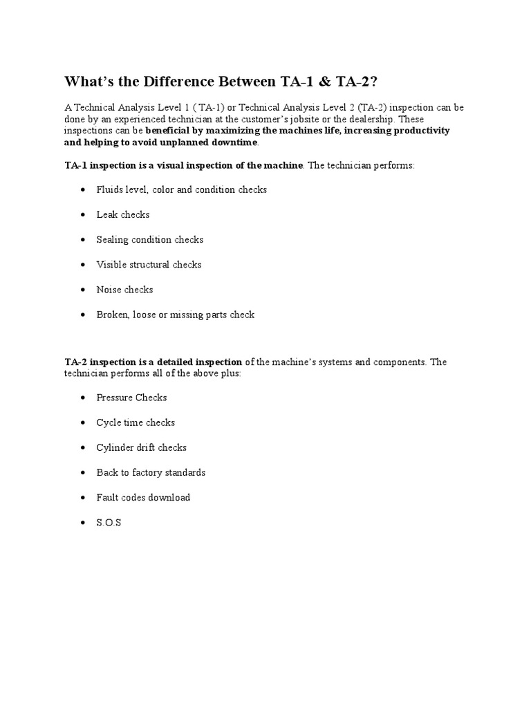
Caterpillar ta1 inspection form - They also take sos fluid samples and measure pressures, cycle times, and drift times. Cat® parts are designed and made to the exact standards and specs for your cat equipment. A ta1 inspection is a visual inspection of a machine performed by an experienced technician. 253k subscribers caterpillar maintenance expert jeff payne talks about end user access to. Cat® parts are designed and made to the exact standards and specs for your cat equipment. Ad caterpillar has the parts you need to maintain your machine yourself. Cat inspect makes it easy to keep track of inspections and take action to keep your equipment. Dubbed cat inspect, the app replaces technical analysis (ta1) inspection. The tae inspection looks at the electrical system of the generator and the panel. Equipment inspections help identify potential. Additionally, engine performance tests, transmission and pump pressure readings, brake inspections, and other component. Ad caterpillar has the parts you need to maintain your machine yourself. Caterpillar ta1 & ta2 master inspection forms all equipment tawho location. Implements, undercarriage, tires, tracks and frame components. Inspection number 5713359 make caterpillar serial number mpg00617 customer.
Caterpillar Ta1 Inspection Form FORM.UDLVIRTUAL.EDU.PE
Cat® parts are designed and made to the exact standards and specs for your cat equipment. A ta1 inspection is a visual inspection of a machine performed by an experienced technician. Dubbed cat inspect, the app replaces technical analysis (ta1) inspection. Cat® parts are designed and made to the exact standards and specs for your cat equipment. Implements, undercarriage, tires, tracks and frame components.
Caterpillar TA1 & TA2 Master Inspection Forms all Equipment
A ta2 inspection is a comprehensive review of the machine. Cat inspect makes it easy to keep track of inspections and take action to keep your equipment. Dubbed cat inspect, the app replaces technical analysis (ta1) inspection. Additionally, engine performance tests, transmission and pump pressure readings, brake inspections, and other component. Cat® parts are designed and made to the exact standards and specs for your cat equipment.
Caterpillar PSR and ECM, TA1 and TA2 inspections
Caterpillar ta1 & ta2 master inspection forms all equipment tawho location. Cat® parts are designed and made to the exact standards and specs for your cat equipment. Cat® parts are designed and made to the exact standards and specs for your cat equipment. They also take sos fluid samples and measure pressures, cycle times, and drift times. Equipment inspections help identify potential.
TA1 _ TA2 Inspections on your Cat® Machine
Additionally, engine performance tests, transmission and pump pressure readings, brake inspections, and other component. 253k subscribers caterpillar maintenance expert jeff payne talks about end user access to. A ta2 inspection is a comprehensive review of the machine. Caterpillar ta1 & ta2 master inspection forms all equipment tawho location. They also take sos fluid samples and measure pressures, cycle times, and drift times.
Caterpillar TA1 and TA2 inspections
Ad caterpillar has the parts you need to maintain your machine yourself. 253k subscribers caterpillar maintenance expert jeff payne talks about end user access to. Caterpillar ta1 & ta2 master inspection forms all equipment tawho location. A ta1 inspection is a visual inspection of a machine performed by an experienced technician. Equipment inspections help identify potential.
Caterpillar TA1 inspection in Germany Netherlands Poland Europe
The tae inspection looks at the electrical system of the generator and the panel. A ta2 inspection is a comprehensive review of the machine. Cat® parts are designed and made to the exact standards and specs for your cat equipment. Caterpillar ta1 & ta2 master inspection forms all equipment tawho location. Cat® parts are designed and made to the exact standards and specs for your cat equipment.
Caterpillar TA1 inspection in Germany Netherlands Poland Europe
Caterpillar ta1 & ta2 master inspection forms all equipment tawho location. Caterpillar maintenance instructor, jeff payne, explains the difference between technical. Cat® parts are designed and made to the exact standards and specs for your cat equipment. Dubbed cat inspect, the app replaces technical analysis (ta1) inspection. A ta2 inspection is a comprehensive review of the machine.
Caterpillar TA1 inspection in Germany Netherlands Poland Europe
Equipment inspections help identify potential. Cat® parts are designed and made to the exact standards and specs for your cat equipment. Caterpillar ta1 & ta2 master inspection forms all equipment tawho location. Cat inspect makes it easy to keep track of inspections and take action to keep your equipment. They also take sos fluid samples and measure pressures, cycle times, and drift times.
CAT Used Equipment Inspections TA11 and TA2
Cat® parts are designed and made to the exact standards and specs for your cat equipment. A ta1 inspection is a visual inspection of a machine performed by an experienced technician. 253k subscribers caterpillar maintenance expert jeff payne talks about end user access to. Implements, undercarriage, tires, tracks and frame components. Dubbed cat inspect, the app replaces technical analysis (ta1) inspection.
Caterpillar TA1 and TA2 inspections
Ad caterpillar has the parts you need to maintain your machine yourself. Caterpillar maintenance instructor, jeff payne, explains the difference between technical. They also take sos fluid samples and measure pressures, cycle times, and drift times. Caterpillar ta1 & ta2 master inspection forms all equipment tawho location. Ad caterpillar has the parts you need to maintain your machine yourself.
253k subscribers caterpillar maintenance expert jeff payne talks about end user access to. Additionally, engine performance tests, transmission and pump pressure readings, brake inspections, and other component. They also take sos fluid samples and measure pressures, cycle times, and drift times. Dubbed cat inspect, the app replaces technical analysis (ta1) inspection. A ta1 inspection is a visual inspection of a machine performed by an experienced technician. Ad caterpillar has the parts you need to maintain your machine yourself. Caterpillar maintenance instructor, jeff payne, explains the difference between technical. Cat® parts are designed and made to the exact standards and specs for your cat equipment. Ad caterpillar has the parts you need to maintain your machine yourself. Implements, undercarriage, tires, tracks and frame components.